• Apuntes
  • Vídeos
  • Ejercicios
    • Resueltos
    • Por Curso
      • 1º ESO
      • 2º ESO
      • 3º ESO
      • 4º ESO
      • 1º BACH. CIENCIAS
      • 1º BACH. SOCIALES
      • 2º BACH. CIENCIAS
      • 2º BACH. SOCIALES
  • Más recursos
    • Actividades Interactivas
    • Selectividad (PAU)
    • Acceso Mayores 25
    • LaTeX
Inicio ›EJERCICIOS de Matemáticas ›1º BACH. CIENCIAS ›Números Complejos ›Producto de números complejos

Producto de números complejos

Ejercicios_Resueltosnúmeros complejosoperaciones con números complejos

Realiza la siguiente operación con números complejos:
– (2+3i) \cdot (2-3i)

SOLUCIÓN

Haremos el ejercicio de dos formas:

1) Aplicando la fórmula de los productos notables (a+b) \cdot (a-b) = a^2 - b^2

(2+3i) \cdot (2-3i) = (2)^2 - (3i)^2 = 4-9i^2 =
=4 -9 \cdot (-1) = 4+9=13

2) Multiplicando todos por todos

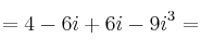
(2+3i) \cdot (2-3i) = (2)^2 - (3i)^2 = 2 \cdot 2 + 2 \cdot (-3)+ (3i) \cdot 2 + (3i) \cdot (-3i) =
=4 - 6i + 6i -9i^3 =
=4 -9 \cdot (-1) = 4+9=13

Comentar el ejercicio

  • 1º BACH. CIENCIAS
    • Derivadas
    • Números Reales
    • Sucesiones
    • Logaritmos
    • Polinomios y Fracciones Algebraicas
    • Exámenes
    • Ecuaciones
    • Números Complejos
    • Sistemas de Ecuaciones
    • Trigonometría
    • Inecuaciones
    • Ecuaciones Exponenciales y Logarítmicas
    • Funciones (I)
    • Geometría en el Plano
    • Cónicas
    • Funciones II
    • Integrales
    • Probabilidad
  • Mapa del sitio
  • Conectarse
  • 2001-2026 — Matemáticas IES — Contactar con Dani