• Apuntes
  • Vídeos
  • Ejercicios
    • Resueltos
    • Por Curso
      • 1º ESO
      • 2º ESO
      • 3º ESO
      • 4º ESO
      • 1º BACH. CIENCIAS
      • 1º BACH. SOCIALES
      • 2º BACH. CIENCIAS
      • 2º BACH. SOCIALES
  • Más recursos
    • Actividades Interactivas
    • Selectividad (PAU)
    • Acceso Mayores 25
    • LaTeX
Inicio ›EJERCICIOS de Matemáticas ›1º BACH. CIENCIAS ›Funciones (I) ›Puntos de corte con los ejes

Puntos de corte con los ejes

corte_ejesEjercicios_Resueltosfunciones

Calcula los puntos de corte con los ejes de coordenadas de la función y=\frac{x+1}{x^3+3}

SOLUCIÓN

y=\frac{x+1}{x^3+3}

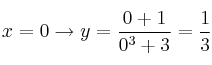
x=0 \rightarrow y=\frac{0+1}{0^3+3} = \frac{1}{3}
Punto de corte \left( 0,\frac{1}{3} \right)

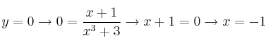
y=0 \rightarrow 0=\frac{x+1}{x^3+3} \rightarrow x+1=0 \rightarrow x=-1
Punto de corte \left( -1,0 \right)

Comentar el ejercicio

  • 1º BACH. CIENCIAS
    • Derivadas
    • Números Reales
    • Sucesiones
    • Logaritmos
    • Polinomios y Fracciones Algebraicas
    • Exámenes
    • Ecuaciones
    • Números Complejos
    • Sistemas de Ecuaciones
    • Trigonometría
    • Inecuaciones
    • Ecuaciones Exponenciales y Logarítmicas
    • Funciones (I)
    • Geometría en el Plano
    • Cónicas
    • Funciones II
    • Integrales
    • Probabilidad
  • Mapa del sitio
  • Conectarse
  • 2001-2026 — Matemáticas IES — Contactar con Dani