Razones trigonométricas conociendo el coseno
Si
es un ángulo del segundo cuadrante y
, se pide:
a) Calcula
y ![]()
b) Averigua el valor de
en radianes y grados sexagesimales
c) Calcula seno, coseno y tangente de
y de ![]()
SOLUCIÓN
Aplicando la fórmula fundamental de la trigonometría podemos calcular el seno:

![]()
![]()
![]()
Tomamos la raíz positiva por ser un ángulo del segundo cuadrante

b) Averigua el valor de
en radianes y grados sexagesimales
![]()
Si usamos la calculadora obtenemos ![]()
Si lo pasamos a radianes obtenemos aproximadamente
radianes
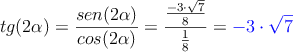
c) Calcula seno, coseno y tangente de
y de ![]()
Usamos las fórmulas del ángulo doble y ángulo mitad
![]()
![]()
![]()




Observe que si
es del segundo cuadrante, entonces
es del primer cuadrante


