Sistema 2x2 No Lineal 💬 1 Ejercicios_Resueltossistema_no_lineal Resuelve el sistema de ecuaciones: Comentar el ejercicio Mensajes 7 de diciembre de 2007, 10:15, por dani En el sistema Tenemos despejada . Resolvamos por sustitución (sustituimos x por su valor en la segunda ecuación): Podemos resolver como una ecuación irracional (aislando la raíz y elevando al cuadrado). Sin embargo hay un camino más directo .. teniendo en cuenta que: Simplificamos cuadrado con raíz Ahora calculamos que la teníamos despejada: Finalmente comprobamos que las soluciones verifican el sistema: Por tanto las soluciones son ,
Mensajes
7 de diciembre de 2007, 10:15, por dani
En el sistema
Tenemos despejada
. Resolvamos por sustitución (sustituimos x por su valor en la segunda ecuación):
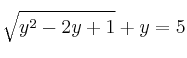
Podemos resolver como una ecuación irracional (aislando la raíz y elevando al cuadrado).
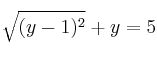
Sin embargo hay un camino más directo .. teniendo en cuenta que:

Simplificamos cuadrado con raíz
Ahora calculamos
que la teníamos despejada:
Finalmente comprobamos que las soluciones verifican el sistema:
Por tanto las soluciones son
, 