• Apuntes
  • Vídeos
  • Ejercicios
    • Resueltos
    • Por Curso
      • 1º ESO
      • 2º ESO
      • 3º ESO
      • 4º ESO
      • 1º BACH. CIENCIAS
      • 1º BACH. SOCIALES
      • 2º BACH. CIENCIAS
      • 2º BACH. SOCIALES
  • Más recursos
    • Actividades Interactivas
    • Selectividad (PAU)
    • Acceso Mayores 25
    • LaTeX
Inicio ›EJERCICIOS de Matemáticas ›1º BACH. CIENCIAS ›Números Complejos ›Suma y resta de números complejos

Suma y resta de números complejos

Ejercicios_Resueltosnúmeros complejosoperaciones con números complejos

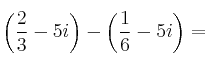
Realiza la siguiente operación con números complejos:
\left( \frac{2}{3}-5i \right) - \left( \frac{1}{6}-5i \right)

SOLUCIÓN

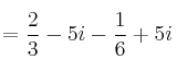
\left( \frac{2}{3}-5i \right) - \left( \frac{1}{6}-5i \right) =
= \frac{2}{3}-5i  -  \frac{1}{6}+5i
= \frac{2}{3} -  \frac{1}{6} = \frac{3}{6} = \frac{1}{2}

Comentar el ejercicio

  • 1º BACH. CIENCIAS
    • Derivadas
    • Números Reales
    • Sucesiones
    • Logaritmos
    • Polinomios y Fracciones Algebraicas
    • Exámenes
    • Ecuaciones
    • Números Complejos
    • Sistemas de Ecuaciones
    • Trigonometría
    • Inecuaciones
    • Ecuaciones Exponenciales y Logarítmicas
    • Funciones (I)
    • Geometría en el Plano
    • Cónicas
    • Funciones II
    • Integrales
    • Probabilidad
  • Mapa del sitio
  • Conectarse
  • 2001-2026 — Matemáticas IES — Contactar con Dani