Teorema de los cosenos
A partir de un triángulo (ver imagen) de vértices A, B y C y de lados conocidos a, b y c
– (a) Calcula sus ángulos
,
y
en función de sus lados
– (b) Calcula la distancia del segmento AO conociendo los ángulos
y ![]()
SOLUCIÓN
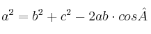
– (a) En un triángulo del que conocemos sus lados, es posible calcular sus ángulos utilizando el teorema de los cosenos:

El teorema es válido para los tres ángulos, pero debemos tener en cuenta la nomenclatura usada:
– El ángulo
corresponde al vértice
– El lado
es el lado opuesto al vértice
– Igual para los otos lados y ángulos
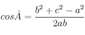
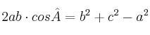
En la fórmula del teorema del coseno, podemos despejar el coseno y tendríamos:


Podríamos aplicar la misma fórmula para el segundo ángulo:

Y para el tercero: 
– (b) Del triángulo AOB conocemos sus ángulos
y
.
Podemos calcular el tercer ángulo:

Como conocemos el lado c, podemos aplicar el teorema de los senos:

De donde:
