Derivadas de funciones con raíces. Ejercicio 1120

derivada de una funciónEjercicios_Resueltos

Calcula la derivada de la función y = \sqrt{2x} + \sqrt[3]{x} - \frac{1}{x}

SOLUCIÓN

Aunque hay fórmulas para derivar raíces, se pueden derivar también pasándolas a potencias.

Recordemos que \sqrt[n]{a^m} = a^{\frac{m}{n}}

Si pasamos la función a potencias, tenemos

y = \sqrt{2x} + \sqrt[3]{x} - \frac{1}{x}

y = (2x)^{\frac{1}{2}}+ x^{\frac{1}{3}} - \frac{1}{x}

Para el primer sumando aplicamos la fórmula \fbox{y= x^n \longrightarrow y^\prime=nx^{n-1}}
Para el segundo sumando aplicamos \fbox{y= u^n \longrightarrow y^\prime=n \cdot u^{n-1}\cdot u^\prime}
Para el tercer sumando aplicamos la fórmula de la derivada de un cociente

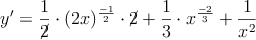
y^\prime = \frac{1}{2} \cdot (2x)^{\frac{1}{2}-1} \cdot 2 + \frac{1}{3} \cdot x^{\frac{1}{3}-1} + \frac{1}{x^2}

y^\prime = \frac{1}{\cancel{2}} \cdot (2x)^{\frac{-1}{2}} \cdot \cancel{2} + \frac{1}{3} \cdot x^{\frac{-2}{3}} + \frac{1}{x^2}

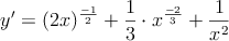
y^\prime = (2x)^{\frac{-1}{2}} + \frac{1}{3} \cdot x^{\frac{-2}{3}} + \frac{1}{x^2}

Si queremos expresar el resultado en forma de raíz

y^\prime = \frac{1}{(2x)^{\frac{1}{2}}} + \frac{1}{3 \cdot x^{\frac{2}{3}}} + \frac{1}{x^2}

y^\prime = \frac{1}{\sqrt{2x}} + \frac{1}{3 \cdot \sqrt[3]{x^2}} + \frac{1}{x^2}

Comentar el ejercicio