Derivadas
(96) ejercicios de Derivadas
-
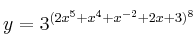
Halla la derivada de la función

-
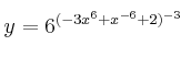
Halla la derivada de la función

-
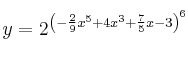
Halla la derivada de la función

-
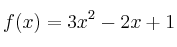
Calcula la derivada de las siguientes funciones:
–
–
–
–![y = 3\sqrt[4]{3x^4-7x^2} y = 3\sqrt[4]{3x^4-7x^2}](local/cache-TeX/e5bbc1d161c6925ec8821e2de29e3bb3.png)
-
Halla la derivada de la función
de dos maneras: usando la fórmula y aplicando la definición de derivada.