Derivadas
(96) ejercicios de Derivadas
-
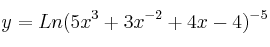
Halla la derivada de la función

-
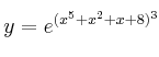
Halla la derivada de la función

-
Halla la derivada de la función

-
Halla la derivada de la función

-
Halla la derivada de la función

