Ecuaciones Exponenciales y Logarítmicas
(40) ejercicios de Ecuaciones Exponenciales y Logarítmicas
-
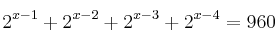
Resuelve la ecuación

-
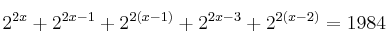
Resuelve la ecuación

-
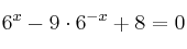
Resuelve la ecuación

-
Resuelve la ecuación

-
Resuelve la ecuación
