Ecuaciones Exponenciales y Logarítmicas
(40) ejercicios de Ecuaciones Exponenciales y Logarítmicas
-
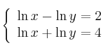
Resuelve el sistema de ecuaciones:

-
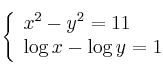
Resuelve el sistema de ecuaciones:

-
Resuelve la ecuación:

-
Resuelve la ecuación

-
Resuelve el siguiente sistema de ecuaciones:

When \(a \ne 0\), there are two solutions to \(ax^2 + bx + c = 0\) and they are \(x = {-b \pm \sqrt{b^2-4ac} \over 2a}.\)

