Ecuaciones
(32) ejercicios de Ecuaciones
-
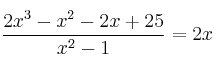
Resuelve la ecuación

-
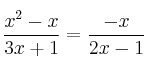
Resuelve la ecuación

-
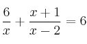
Resuelve la ecuación

-
Resuelve la ecuación

-
Resuelve la ecuación

