☰
Apuntes
Vídeos
Ejercicios
Resueltos
Por Curso
1º ESO
2º ESO
3º ESO
4º ESO
1º BACH. CIENCIAS
1º BACH. SOCIALES
2º BACH. CIENCIAS
2º BACH. SOCIALES
Más recursos
Actividades Interactivas
Selectividad (PAU)
Acceso Mayores 25
LaTeX
Inicio
›
EJERCICIOS de Matemáticas
›
1º BACH. CIENCIAS
›
Ecuaciones
Ecuaciones
(32) ejercicios de Ecuaciones
👁 Ver (#3895)
Seleccionar
Resuelve las siguientes ecuaciones:
–
–
👁 Ver (#4009)
Seleccionar
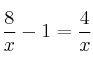
Resuelve la ecuación
1
2
3
4
5
6
7
/B_articulos>