Funciones (I)
(145) ejercicios de Funciones (I)
-
Dadas las funciones
y
, se pide:– a) Representación gráfica de ambas
– b) Calcular los extremos de la función
-
Dada la función
, se pide:– a) Representación gráfica
– b) Monotonía (crecimiento y decrecimiento) y Asíntotas -
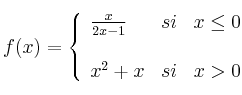
Dada la función:

– a) Representación gráfica
– b) estudiar analíticamente la continuidad en el punto 0 -
Represente gráficamente la siguiente función:

-
Represente gráficamente la siguiente función:

Indica dominio, monotonía y asíntotas
