Funciones (I)
(145) ejercicios de Funciones (I)
-
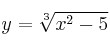
Halla el dominio de la función
![y = \sqrt[3]{x^2-5} y = \sqrt[3]{x^2-5}](local/cache-TeX/8661230c7f05d1a220088f802ecf1e66.png)
-
Halla el dominio de la función
![y = \sqrt[6]{x^2-4} y = \sqrt[6]{x^2-4}](local/cache-TeX/845013fb8b301c093d8424bb008ed708.png)
-
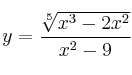
Halla el dominio de la función
![y = \frac {\sqrt[5]{x^3-2x^2}}{x^2-9} y = \frac {\sqrt[5]{x^3-2x^2}}{x^2-9}](local/cache-TeX/b282967508d0729d18ed499afbd8cad2.png)
-
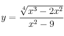
Halla el dominio de la función
![y = \frac{\sqrt[4]{x^3-2x^2}}{x^2-9} y = \frac{\sqrt[4]{x^3-2x^2}}{x^2-9}](local/cache-TeX/ce0e85733b63e27097f86db140040fc6.png)
-
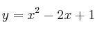
Halla el dominio de la función
