Funciones (I)
(145) ejercicios de Funciones (I)
-
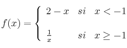
Estudia la continuidad de la siguiente función:

-
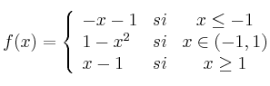
Estudia la continuidad de la siguiente función:

-
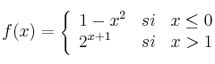
Estudia la continuidad de la siguiente función:

-
Realiza un estudio gráfico completo de la función expresada en la siguiente gráfica:
-
Calcular el dominio de la función

