Funciones II
(40) ejercicios de Funciones II
-
Estudia la monotonía de la función

-
Estudia la monotonía de la función

-
Halla los extremos relativos de la función:

-
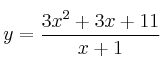
Halla los extremos relativos de la función:

-
Halla los extremos relativos de la función

