Inecuaciones
(27) ejercicios de Inecuaciones
-
Resuelve la inecuación

-
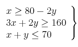
Resuelve gráficamente el siguiente sistema de inecuaciones :

-
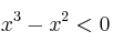
Resuelve la inecuación

-
Resuelve la inecuación

-
Resuelve la inecuación

