Paralelismo y perpendicularidad de rectas en el plano
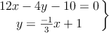
Sean L1 y L2 las rectas de ecuación
![]()
![]()
donde ![]()
a) Determinar el valor de c para el cual la recta L1 ea perpendicular a la recta L2. Escribir la ecuación de la recta L1
b) Hallar analíticamente el punto de intersección de las rectas L1 y L2 y verificar gráficamente el resultado hallado.
c) Encontrar la ecuación de la recta L que es paralela a la recta L1 y pasa por el punto P= ( -1/3 , 1/3)
SOLUCIÓN
El paralelismo y perpendicularidad de rectas en el plano se puede tratar mediante los vectores directores de las rectas o mediante sus pendientes.
En este ejercicio lo haremos con las pendientes.
Recordemos que la pendiente
de una recta es el coeficiente de "x" en la ecuación explícita

También debemos recordar que dos rectas son paralelas cuando tengan la misma pendiente, y son perpendiculares cuando el producto de sus pendientes vale -1.
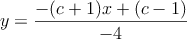
Expresemos ambas rectas en forma explícita para conocer su pendientes:
![]()
![]()
![]()
![]()
![]()
La otra recta (L2) ya viene en ecuación explícita
![]()
(en azul las pendientes)
a) Para que sean perpendiculares, el producto de sus pendientes debe valer -1
![]()
![]()
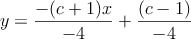
La recta L1 quedaría de la forma:
![]()
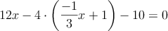
b) Para calcular el punto de intersección de ambas rectas, resolvemos el sistema formado por las ecuaciones de ambas rectas
![]()
Se puede resolver por sustitución (pues tenemos y despejada en la 2ª ecuación).
![]()
Operando, calculando y simplificando llegamos a las soluciones:
![]()
![]()
Por tanto, las rectas se cortan en el punto ![]()
c) Buscamos una paralela a L1 que pase por P= ( -1/3 , 1/3)
Expresamos L1 en forma explícita
![]()
Cualquier recta paralela será de la forma ![]()
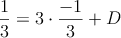
Para calcular D, le hacemos que pase por ( -1/3 , 1/3)
![]()
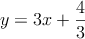
Operando obtenemos que ![]()
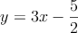
Por tanto la paralela que nos piden es:
![]()