Polinomios
(127) ejercicios de Polinomios
-
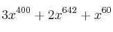
Hallar cociente y resto de la siguiente división:

-
Razona:
– ¿Es
raíz de
?
– ¿Es
factor de
?
-
Razona:
– ¿Es
factor de
?
– ¿Es
factor de
?
– ¿
es divisible por
?
– ¿Es
raíz de
?
-
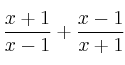
Opera y simplifica

-
Opera y simplifica
