Polinomios
(127) ejercicios de Polinomios
-
Opera y simplifica

-
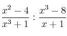
Opera y simplifica

-
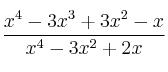
Opera y simplifica

-
Halla el valor de
para que el polinomio
tenga como raíz 
-
Halla el valor de
para que el polinomio
tenga como raíz 