Polinomios
(127) ejercicios de Polinomios
-
Opera y simplifica

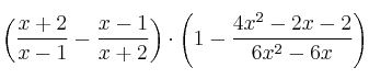
-
Opera y simplifica

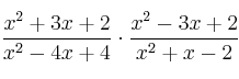
-
Opera y simplifica

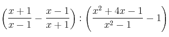
-
Opera y simplifica

-
Opera y simplifica
