Polinomios y Fracciones Algebraicas
(43) ejercicios de Polinomios y Fracciones Algebraicas
-
Hallar un polinomio de segundo grado, cuyo coeficiente principal sea 2, que se anule para x=2 y que su valor numérico para x=4 sea 5
-
Hallar un polinomio de
grado que sólo tenga dos raíces: 0 y 1
-
Descompón la siguiente fracción algebraica en una suma de fracciones simples:

-
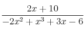
Descompón la siguiente fracción algebraica en una suma de fracciones simples:

-
Descompón la siguiente fracción algebraica en una suma de fracciones simples:

