Polinomios y Fracciones Algebraicas
(43) ejercicios de Polinomios y Fracciones Algebraicas
-
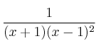
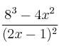
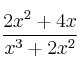
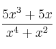
Reduce a común denominador los siguientes grupos de fracciones algebraicas:
–
,
,
–
,
,
–
,
, 
-
Realiza las siguientes operaciones con fracciones algebraicas:
–
–
-
Simplifica las siguientes fracciones algebraicas:
–
–
–