Trigonometría
(113) ejercicios de Trigonometría
-
Comprueba que la siguiente expresión trigonométrica es cierta:

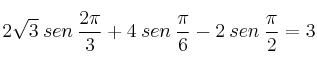
-
Comprueba que la siguiente expresión trigonométrica es cierta:

-
Sin usar la calculadora, deduce las razones trigonométricas del ángulo 75 grados
-
Simplifica la siguiente expresión trigonométrica:

-
Simplifica la siguiente expresión trigonométrica:
