Trigonometría
(113) ejercicios de Trigonometría
-
Demuestra la siguiente igualdad trigonométrica:

-
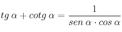
Demuestra la siguiente igualdad trigonométrica:

-
Demuestra la siguiente igualdad trigonométrica:

-
Demuestra la siguiente igualdad trigonométrica:

-
Demuestra la siguiente igualdad trigonométrica:

