Trigonometría
(113) ejercicios de Trigonometría
-
Resuelve la ecuación

-
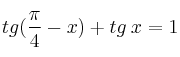
Resuelve la ecuación

-
Demuestra que se cumple la siguiente igualdad trigonométrica:

-
Demuestra que se cumple la siguiente igualdad trigonométrica:

-
Halla el ángulo que forma la diagonal de un cubo con la diagonal de una de sus caras.
