Trigonometría
(113) ejercicios de Trigonometría
-
Calcula

-
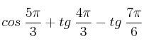
Calcula

-
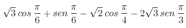
Calcula

-
Halla la altura de un globo conociendo los datos del siguiente esquema:
-
Una persona está situada al lado de un árbol proyecta una sombra de 66 cm. y el árbol proyecta una sombra de 2,3 m. Sabiendo que la persona mide 1,78 m. halla la altura del árbol y el tipo de árbol que es.
