Funciones (I)
(145) ejercicios de Funciones (I)
-
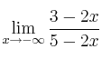
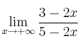
Calcula los siguientes límites y representa gráficamente el resultado obtenido:
–
–
-
Calcula los siguientes límites de funciones:
–
–
–
–
-
Dada la función
Calcula los siguientes límites:–
–
–
-
Calcula el valor de
para que la siguiente función sea continua:
-
Calcula el valor de
para que la siguiente función sea continua:
