Funciones (I)
(145) ejercicios de Funciones (I)
-
Halla los extremos relativos de la función

-
Estudia la continuidad de las siguientes funciones en los puntos que se indican:



-
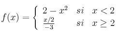
Halla el valor de
para que la siguiente función sea continua.

-
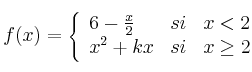
Halla el valor de
para que la siguiente función sea continua.

-
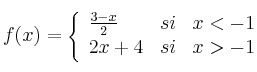
Halla el valor de
para que la siguiente función sea continua.

