Geometría en el Plano
(87) ejercicios de Geometría en el Plano
-
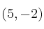
Dados los puntos
y
, halla la ecuación paramétrica de la recta perpendicular al segmento
en su punto medio.
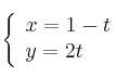
-
Halla la ecuación paramétrica de la recta que pasa por el punto
y es paralela a la recta

-
Si
es el punto medio del segmento
, calcula las coordenadas de
, siendo 
-
Los puntos
,
,
y
son los vértices consecutivos del paralelogramo
. Halla las coordenadas del punto
.
-
Halla el valor de
para que los puntos
,
y
estén alineados.
