Geometría en el Plano
(87) ejercicios de Geometría en el Plano
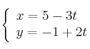
-
Halla la ecuación paramétrica de la recta

-
Halla la ecuación implícita de la siguiente recta:

-
Halla la ecuación general de la recta de pendiente 3 y ordenada en el origen -5.
-
Halla la ecuación de una recta paralela a la recta
y cuya ordenada en el origen es -2
-
Halla la ecuación paramétrica de una recta perpendicular a la recta
por el punto 
