Geometría en el Plano
(87) ejercicios de Geometría en el Plano
-
Halla la ecuación explícita de una recta que pasa por el punto
y es paralela a la recta 
-
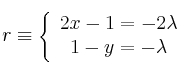
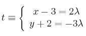
Halla el valor de
para que las rectas
y
sean paralelas
-
Halla el punto de incidencia de las rectas

y

-
Halla la ecuación segmentaria de la recta

-
Halla la ecuación continua de la recta
