Geometría en el Plano
(87) ejercicios de Geometría en el Plano
-
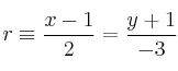
Halla la ecuación paramétrica de la recta

-
Halla el valor de
para que el punto
no pertenezca a la recta

-
Halla la ecuación vectorial de la recta
, sabiendo que pasa por los puntos
y 
-
Halla un vector director y la pendiente de las rectas:
–
–
–
-
Sabemos que
y que
. Calcula el producto escalar 
