Logaritmos
(23) ejercicios de Logaritmos
-
Sabiendo que
y que
, calcula

-
Sabiendo que
y que
, calcula

-
Calcula el siguiente logaritmo sin usar la calculadora:
![\log_7 \frac{49 \cdot \sqrt{343}}{\sqrt[3]{2041}} \log_7 \frac{49 \cdot \sqrt{343}}{\sqrt[3]{2041}}](local/cache-TeX/b00b246b30182467f9b37bafa26b222c.png)
-
Calcula el siguiente logaritmo sin usar la calculadora:
![\log_5 \frac{25 \cdot \sqrt[3]{625}}{125^2} \log_5 \frac{25 \cdot \sqrt[3]{625}}{125^2}](local/cache-TeX/c99ada77b325f604fd173847d72f7db9.png)
-
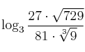
Calcula el siguiente logaritmo sin usar la calculadora:
![\log_3 \frac{27 \cdot \sqrt{729}}{81 \cdot \sqrt[3]{9}} \log_3 \frac{27 \cdot \sqrt{729}}{81 \cdot \sqrt[3]{9}}](local/cache-TeX/3eed221b0a9fcde11c78f3abb75704f7.png)
