Logaritmos
(23) ejercicios de Logaritmos
-
Sabiendo que
y que
, calcula

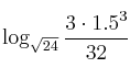
-
Sabiendo que
y que
, calcula

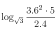
-
Sabiendo que
y que
, calcula

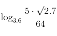
-
Sabiendo que
y que
, calcula

-
Despeja
en la expresión 
