Números Complejos
(128) ejercicios de Números Complejos
-
Dados los complejos
y
; halla el valor de
para que los módulos de z y z’ sean iguales.
-
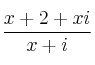
Halla el valor de
para que el siguiente número complejo sea imaginario puro:

-
Halla
y
mediante el producto de complejos: 
-
Halla
y
mediante el cociente de complejos: 
-
Resuelve y expresa las soluciones en binómica:
