Números Complejos
(128) ejercicios de Números Complejos
-
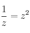
Dado el complejo
, comprueba que 
-
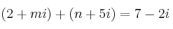
Halla
y
para que se verifique la igualdad 
-
Expresa en forma binómica los siguientes complejos:
–
–
–
–
-
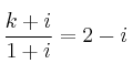
Halla el valor de
para que se cumpla la siguiente igualdad:

-
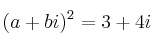
Halla el valor de
y
para que se cumpla la siguiente igualdad:
