Números Complejos
(128) ejercicios de Números Complejos
-
Halla el valor de
y
para que se cumpla la siguiente igualdad:

-
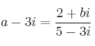
Halla el valor de
y
para que se cumpla la siguiente igualdad:

-
Halla el valor de
para que la expresión
se convierta en:
– a) Número Complejo Imaginario puro
– b) Numero Real -
Calcula

-
Calcula
usando el Binomio de Newton
