Derivadas
(96) ejercicios de Derivadas
-
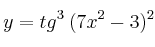
Calcula la derivada de las funciones:
–
–
-
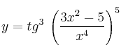
Calcula la derivada de las funciones:
–
–
-
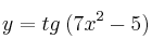
Calcula la derivada de las funciones:
–
–
-
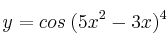
Calcula la derivada de la función:
–
-
Calcula la derivada de la función:
–