Derivadas
(96) ejercicios de Derivadas
-
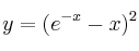
Calcula la derivada de la función

-
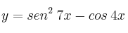
Calcula la derivada de las funciones:
–
–
-
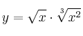
Calcula la derivada de las funciones:
–
–![y = \sqrt{x} \cdot \sqrt[3]{x^2} y = \sqrt{x} \cdot \sqrt[3]{x^2}](local/cache-TeX/c3ad465350dce8f600fff462a85404ce.png)
-
Calcula la derivada de las funciones:
– a)
– b)![y = \sqrt{2x} + \sqrt[3]{5x} y = \sqrt{2x} + \sqrt[3]{5x}](local/cache-TeX/55ef08a59caa3a89932b390460f0b96f.png)
-
Calcula la derivada de la función:

