Derivadas
(96) ejercicios de Derivadas
-
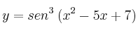
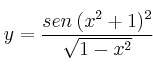
Calcula la derivada de las funciones:
–
–
-
Calcula la derivada de las funciones:
–
–
-
Calcula la derivada de las funciones:
–
–
-
Calcula la derivada de la funció:
–
-
Calcula la derivada de las funciones:
–
–