Derivadas
(96) ejercicios de Derivadas
-
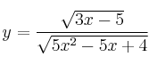
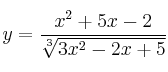
Calcula la derivada de la función
![y = \frac{x^2+5x-2}{\sqrt[3]{3x^2-2x+5} } y = \frac{x^2+5x-2}{\sqrt[3]{3x^2-2x+5} }](local/cache-TeX/58d5566b15a923e057f743b232d0a6b2.png)
-
Calcula la derivada de la función

-
Calcula la derivada de la función

-
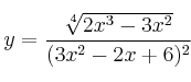
Calcula la derivada de la función
![y = \frac{\sqrt[4]{2x^3-3x^2}}{(3x^2-2x+6)^2} y = \frac{\sqrt[4]{2x^3-3x^2}}{(3x^2-2x+6)^2}](local/cache-TeX/9bc7bce5b5dce2071a65de1420a622f8.png)
-
Calcula la derivada de las funciones:
–
–
