Números Complejos
(128) ejercicios de Números Complejos
-
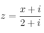
Dado el número complejo
, halla el valor de
para que el módulo de
valga 
-
Calcula:
–
–
–
-
Efectúa la siguiente operación con números complejos:

-
Efectúa la siguiente operación con números complejos:

-
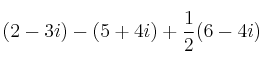
Efectúa la siguiente operación con números complejos:
