Números Complejos
(128) ejercicios de Números Complejos
-
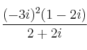
Efectúa la siguiente operación con números complejos:

-
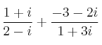
Efectúa la siguiente operación con números complejos:

-
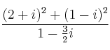
Efectúa las siguientes operaciones con números complejos:

-
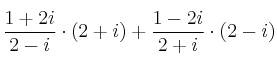
Efectúa las siguientes operaciones con números complejos:

-
Efectúa las siguientes operaciones con números complejos:
