Sucesiones
(74) ejercicios de Sucesiones
-
Si unimos los puntos medios de los lados de un triángulo equilátero de lado 8 cm. obtenemos otro triángulo equilátero. Si volvemos a unir los puntos medios de los lados vamos obteniendo un triángulo cada vez más pequeño. Halla el área del triángulo número 10.
-
Halla la fracción generatriz mediante progresiones de

-
Hallar la fracción generatriz mediante progresiones del número

-
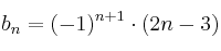
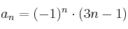
Hallar los términos
y
de las sucesiones:–
–
-
Hallar el término general de la sucesión
