Sucesiones
(74) ejercicios de Sucesiones
-
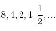
Hallar el término general de la sucesión

-
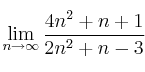
Halla el siguiente límite de sucesiones:

-
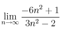
Halla el siguiente límite de sucesiones:

-
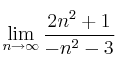
Halla el siguiente límite de sucesiones:

-
Halla el siguiente límite de sucesiones:
