Sucesiones
(74) ejercicios de Sucesiones
-
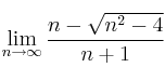
Halla el siguiente límite de sucesiones:

-
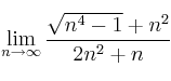
Halla el siguiente límite de sucesiones:

-
Hallar los lados de un triángulo rectángulo sabiendo que son consecutivos y forman progresión aritmética.
-
Hallar los lados de un triángulo rectángulo sabiendo que forman progresión aritmética de diferencia 3.
-
Interpola tres medios geométricos entre los números 3 y 48