Sucesiones
(74) ejercicios de Sucesiones
-
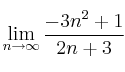
Halla el siguiente límite de sucesiones:

-
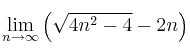
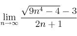
Halla el siguiente límite de sucesiones:

-
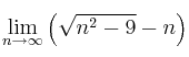
Halla el siguiente límite de sucesiones:

-
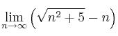
Halla el siguiente límite de sucesiones:

-
Halla el siguiente límite de sucesiones:
