Sucesiones
(74) ejercicios de Sucesiones
-
¿Cuánto suman todos los múltiplos de 2 comprendidos entre 99 y 2301?
-
Interpola tres medios proporcionales entre los números
y 
-
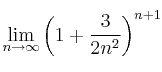
Halla el siguiente límite de sucesiones:

-
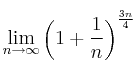
Halla el siguiente límite de sucesiones:

-
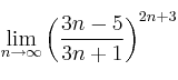
Halla el siguiente límite de sucesiones:
